管理类联考数学常用公式盘点
2020/12/21 13:48:06
来源: 网络
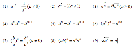
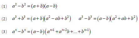
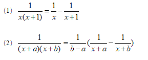
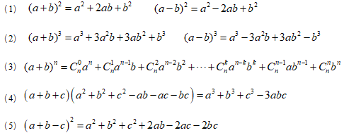
21管理类联考考试即将到来,考生们要抓住最后的几天时间查漏补缺。海天考研小编整理了管理类联考数学部分的常用公式,希望对同学们的复习有帮助。
1

2

3

4

5

6

7

8

9

10

11


热门推荐



